“阴谋论的兔子洞,一旦掉进便很难再出来?”
在信息时代,毫无根据的阴谋论如同病毒般在全球范围内传播,对社会信任、科学普及以及个人心理健康造成了严重危害。数据显示,美国有超过 50% 的人口相信某种形式的阴谋论。
尽管学者们试图通过揭露逻辑谬误和普及科学知识等方式揭穿阴谋论,但这些干预措施缺乏互动性和针对性,大多无效。
如今,人工智能(AI)在破除阴谋论方面取得了新突破,开始大展拳脚——
由 AI 驱动的聊天机器人可以将阴谋论信众(即使是那些最顽固的人)的错误信念平均减少 20%,且效果至少可以持续 2 个月,并在各种不相关的阴谋论以及不同的人口统计类别中都有效。
这一成果来自美国麻省理工学院和康奈尔大学联合研究团队,他们通过提出一种利用 AI 聊天机器人来对抗虚假信息的新方法,试图打破 “阴谋论信仰根深蒂固且无法改变” 这一观念。
他们探讨了 GPT-4 Turbo 等大语言模型(LLMs)是否能利用其强大的信息获取能力,并通过使用定制的对话反驳,来直接回应阴谋论信众提出的具体证据,从而有效地揭穿阴谋论。
研究结果表明,LLMs 能够应对大量虚假信息的“攻击”,并提供大量反证据,相较于人类难以处理的信息洪流,LLMs 或许可以无限期针对错误信息生成反驳。
相关研究论文以 “Durably Reducing Conspiracy Beliefs Through Dialogues with AI” 为题,以封面文章的形式发表 在科学期刊 Science 上。

在一篇相关的前瞻性(perspective)文章中,Bence Bago 和 Jean-François Bonnefon 写道,“无论好坏,AI 都将深刻改变我们的文化。这项研究展示了生成式 AI 说服能力的潜在积极应用。”
AI 成功粉碎阴谋论
在维基百科上,有关阴谋论(Conspiracy theory)的解释是,“在其他解释更有可能的情况下,将事件或现实情况解释成邪恶而又强力的集团在背后密谋的理论”。
这些理论一般由于缺乏更多可靠的证据而不可证伪,并且在逻辑上可能是自洽的,因此可能有相当多的信众。
信众的阴谋论信念的形成受到多种心理机制的影响,尽管其荒谬性非常明显,但出于对复杂世界的简单化需求,以及对某些事件的不确定性的反应,想要说服他们基于事实放弃毫无根据的信仰,而非从根本上改变他们的潜在心理和身份承诺,几乎不太可能。
为此,研究团队利用 LLMs 可以访问海量信息、与用户进行实时个性化交互的特点,探讨了是否可以用足够令人信服的证据来说服人们走出阴谋的“兔子洞”。
他们首先提出假设,基于事实、纠正性信息的干预措施可能看起来无效,仅仅是因为它们缺乏足够的深度和个性化。他们基于 GPT-4 Turbo 设计了一系列实验,招募了 2190 名阴谋论信众作为参与者,测试 LLMs 是否能通过个性化对话有效打击阴谋论。

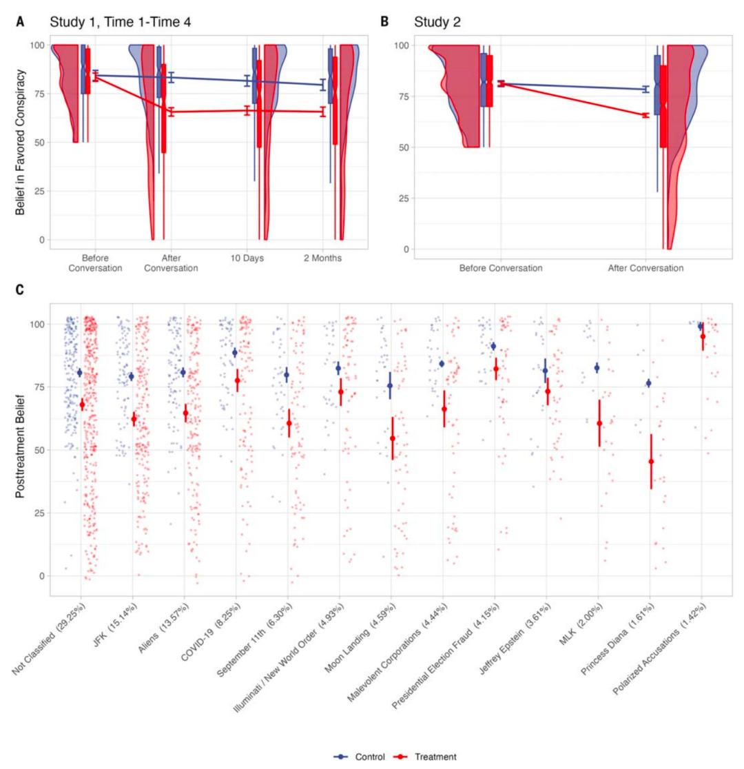
图|人类参与者与 LLMs 的对话设计和流程。(来源:该论文)
首先,研究团队选择了 774 名参与者,在让他们描述自己所信奉的阴谋论和理由后,将他们分为干预组和对照组,分别与 LLMs 进行对话。
干预组与 LLMs 进行对话时,会进行多次个性化互动,分享他们的观点和所谓的“证据”,LLMs 则根据这些证据提供有针对性的反驳;而对照组的参与者与 LLMs 系统则就阴谋论无关的话题展开对话。

图|与 LLMs 对话可以持久地降低阴谋论信念,即使是在坚定的信众中。(左)按研究 1 的条件(红色:LLMs 试图反驳阴谋论;蓝色:与 LLMs 讨论无关话题)和时间点划分的人类参与者阴谋论的平均信念。(来源:该论文)
结果显示,即使是对阴谋论深信不疑的参与者,通过 LLMs 的推理和证据也愿意改变信念,这进一步强调了理性思考在修正错误信念中的作用;与 LLMs 对话不仅能影响具体的阴谋论,还能对其他不相关的阴谋理论产生额外效应。
而且,LLMs 反驳阴谋论的准确性极高,经过专业事实核查员评估,99.2% 的反驳内容被认为是真实的,只有 0.8% 具有误导性,且没有任何虚假信息或明显的偏见。
此外,通过不断地修正问卷措辞,研究团队在两轮实验中验证了这一结果的鲁棒性。
该研究的创新之处在于:
实时交互:与传统的静态信息不同,这一研究利用 LLMs 设计实时对话实验,个性化地反驳参与者提出的阴谋论信念,这种互动方式能够及时回应人类参与者的疑问和反驳,提高干预的有效性;
个性化对话:LLMs 根据参与者的具体信念生成定制化的反驳内容,使得干预更加有针对性和说服力;
直接反驳:LLMs 不仅提供事实信息,还会针对参与者引用的虚假证据立即提供真实数据并解释其来源和可靠性。
然而,必须警惕的是,LLMs 可能会被用于推广虚假信念,因此需要负责任的使用和适当的限制。
当然,这一研究也具有一定的局限性。例如,研究样本主要来自美国在线参与者,未来应测试其他文化和背景的阴谋论信众。
而且,这一研究只使用了 GPT-4 Turbo 模型,尚不清楚其他模型的表现如何。
再者,尽管 LLMs 在改变信仰方面表现出色,但具体的认知机制仍不明确,未来仍需进一步探讨 LLMs 如何通过对话影响信念的变化。
科学事实是最有力的反证据
此外,世界经济论坛在《2024年全球风险报告》中,将 AI 放大虚假信息列为全球最严重风险之一。在此情况下,AI 的潜在积极影响显得尤为重要。
以上结果表明,LLMs 等 AI 模型不仅能够有效地减少人们对特定阴谋论的信念,还具有改变深层次信念的巨大潜力。
然而,正如 Bence Bago 等人在前瞻性文章中指出,这一 AI 对话方法可能只适用于经过充分论述的阴谋信仰,对于没有合理依据的错误信仰,AI 的有效性可能会有所下降。
他们进一步指出,AI 对话干预措施的可扩展性是一种理想状态,它不仅能够适用于阴谋论,还涵盖伪科学、健康神话、气候怀疑主义等领域。然而 ,这些类型的错误信念是否与阴谋论具有相同的纠正难度,仍有待进一步研究。
他们建议,未来的研究应探讨这种 AI 对话需要持续多久、多久进行一次才能确保其有效性。
此外,阴谋论信众可能不会信任任何科学机构,如何说服他们与 AI 进行互动仍是一个巨大挑战。
从另一角度来看,一种个性化方法或许可以发挥作用,由于阴谋论信众的亲友往往急于粉碎错误信仰,或许可以通过鼓励亲友来引导信众参与和 AI 的对话。

Science 杂志主编 H. Holden Thorp 在一篇 focus 文章中指出:“LLMs 可能是对抗阴谋信仰的有效工具,这可能看起来有点讽刺,因为 LLM 以编造虚假事实而闻名。但在与阴谋论信众的交谈中,它们却能有效地减少信念。”
该研究论文的作者之一 David Rand 也表示:“我们的证据表明,真正起作用的确实是反证据和非阴谋解释。”
Thorp 进一步提出了一个问题:“这是否与 LLMs 的中立性、缺少人类对话中的情绪化反应有关?但目前的研究尚未给出有力的证据来支持这一观点。”
这些结果表明,当大量反证据变得至关重要时,减少科学错误信息的努力可能不应过度强调信息的传递者,而应聚焦于提供足够的对立证据。
H. Holden Thorp 谈道:令人困惑的是,尽管阴谋论盛行,但公众对科学家的信任度仍然很高。也许,正是这种对科学家的坚定信任,使得 LLMs 在提供反证据时如此有效。
尽管机器可能比人类更擅长反驳错误信息,但最终让人们信服的依然是科学事实。因此,科学家们有责任证明 AI 的未来潜力。