100万亿Token实证数据揭秘2025年AI发展:开源逆袭、推理优化模型流量飙升至50%以上、用户留存取决于谁能率先完美解决特定痛点、亚洲付费使用量翻倍、中文成为全球第二大AI交互语言、AI不再是硅谷的独角戏!
2025年标志着AI发展史上的一个决定性转折点。
OpenRouter和a16z联合发布了一篇深度调查,揭示了AI领域正经历一场前所未有的「大分流」,深度总结了2025年AI发展现状,并且给出多个反直觉观点!

报告名称:《基于OpenRouter的100万亿Toke实证研究》全文2万多字 报告地址:https://openrouter.ai/state-of-ai
此前,评估AI模型影响力的指标往往局限于学术基准测试(Benchmarks)或宣称的用户数量。
然而,OpenRouter提供了首个基于真实算力消耗的上帝视角。
该报告分析了过去一年中处理的超过100万亿个Token的元数据,这一数据规模足以抹平任何营销噪音,揭示出开发者和企业究竟在如何使用AI。
这份报告,基于来自全球的真实请求:100万亿Token,300多个模型,60多个提供方。
太长不看版:

- 开源不再陪跑
开源模型流量占比已达30%,不再是闭源模型的「平替」,而是特定场景的首选。
- 中国力量崛起
中国开源模型异军突起,占据全球流量近30%,在迭代速度和特定场景(如角色扮演)上表现统治级。
- 推理模型为王
推理优化模型流量占比飙升至50%以上,AI从「生成文本」正式转向「思考问题」。
- 两大场景统治
编程(占总流量50%+)统治生产力,角色扮演(占开源流量52%)统治创造力。
- 亚洲时刻到来
亚洲付费使用量翻倍至31%,中文以近5%的份额成为全球第二大AI交互语言。
- 水晶鞋效应
用户留存取决于「首发即匹配」。若新模型发布时能完美解决某类痛点(穿上水晶鞋),用户将极难流失;否则流失率极高。
- 价格弹性弱
整体降价10%仅带来<1%增量,但在特定高效模型上,极致低价引发了使用量的报复性增长(杰文斯悖论)
开源vs闭源:谁在统治模型江湖?
虽然闭源模型依然占据主导地位,但开源模型的使用量已稳步增长至总流量的30%左右。
这一增长并非偶然,而是由一系列高质量模型的发布推动的。
DeepSeek V3/R1、Kimi K2、Qwen 3 Coder、GLM 4.6等模型的发布,每一次都带来了显著的流量波峰,且这种增长具有持续性,证明了开源模型已进入生产环境,而非仅仅是昙花一现的实验品。
报告中一个极为亮眼的数据是中国开源模型的崛起。
- 从1.2%到30%
2024年末,中国模型的使用份额仅为1.2%;而到了2025年下半年,在某些周次,中国OSS模型(如DeepSeek、Qwen、MiniMax、Kimi、GLM等)的使用量甚至占据了所有模型流量的近30%。
- 快速迭代
这一增长得益于中国开发者惊人的发布速度和迭代能力。DeepSeek和Qwen家族通过高频的模型更新,迅速适应了新兴的工作负载。
闭源顶梁柱,开源占三成
在OpenRouter上:
闭源大厂模型(OpenAI、Anthropic、Google等)依然撑起了大约70%的Token使用量——特别是在受监管、企业级、关键业务上,大家更倾向于用它们。
- 开源权重模型(OSS)的份额,却在这一年稳步上涨,到了2025年底,已经稳定在大约30%左右。

开源与闭源模型:浅蓝色代表开放权重模型,而深蓝色对应专有(闭源)产品,垂直虚线标记了关键开放权重模型的发布
更有意思的是:这三成已经大量地进入生产使用,新模型发布后,使用量往往不只是短期试用,而是持续维持。

开源和闭源模型的每周Token量:堆叠条形图显示随时间推移各模型类别的总Token使用量。深红色对应专有模型(Closed),橙色代表中国开源模型、,青色表示其他地区的开源模型
一个重要推手就是中国开源模型的爆发。
像DeepSeek、Qwen、Kimi、GLM等模型上线后,中国OSS模型的份额从几乎可以忽略的1%+,一路爬到某些周能占到近30%的总Token。
在开源阵营内部,去年还是DeepSeek一家几乎吃掉半壁江山:
一度DeepSeek V3和R1两个模型加起来占了所有开源Token的超过一半。
但2025年中以后,局面迅速被打散:
Qwen、Kimi、MiniMax、GLM、OpenAI的GPT-OSS、Meta的LLaMA等不断加入;
没有任何一个开源模型,在全年后半段能稳定拿到超过25%的份额。
用一句话概括:去年是「一个DeepSeek,打遍OSS」;今年变成了「五六个开源模型,各自都有稳定流量」。
对开发者来说,这是好消息:不再只有「那个唯一的好开源模型」,而是多个可选项,可以按场景挑。

按模型作者划分的总Token量(2024年11月–2025年11月)

Top 15开源模型:每个色带代表一个模型对总Token的贡献
「中杯」模型才是真爱
过去「小模型(<15B)」和「大模型(>70B)」的两极分化正在消失。
2025年,「中型模型(15B-70B)」异军突起。
- 小模型的衰落
尽管Google Gemma等小模型不断涌现,但整体份额在下降。
- 中型模型的PMF
随着Qwen 2.5 Coder 32B、Mistral Small 3等模型的发布,用户发现这类模型在能力与效率之间达到了完美的平衡。它们正在成为新的市场主流。
直觉上很多人以为:要么用最小的,便宜、快;要么用最大的,最聪明。
但真实使用数据却在告诉我们:「中杯」模型,正在成为新的主力。

开源模型规模与使用情况对比。每周由小型、中型和大型模型处理的开源总Token量占比。百分比按每周开源总使用量进行归一化计算。
智能体推理的崛起
如果说2024年是「聊天机器人」的年份,那么2025年就是「智能体」的年份。
AI的使用方式正在从简单的问答,转向复杂的多步任务执行。

推理与非推理趋势。自2025年初以来,通过推理优化模型路由的Token占所有Token的比例持续上升。
推理模型已成主流
数据显示,推理优化模型的流量占比已从年初的微不足道,飙升至50%以上。
用户不再满足于模型「吐出」文本,而是要求模型进行内部的思维链(CoT)计算、规划和反思。
在这一领域,xAI的Grok Code Fast 1异军突起,与Google的Gemini 2.5系列共同领跑,甚至超越了早期的先行者。
工具调用常态化
越来越多的请求不仅仅是文本生成,而是包含了「工具调用」(tool use)的指令。
这标志着模型正在作为更大系统中的一个组件被调用,而非孤立的对话者。

按推理相关Token量统计的顶尖推理模型。
在推理模型中,xAI的Grok Code Fast 1目前处理着最大份额的推理相关Token流量,紧随其后的是谷歌的Gemini 2.5 Pro和Gemini 2.5 Flash。
xAI的Grok 4 Fast与OpenAI的gpt-oss-120b共同构成了头部阵营。

工具调用采用率上升

按工具调用量统计的Top10头部模型。工具调用功能主要集中在明确为智能体推理优化的模型上,例如Claude Sonnet和Gemini Flash。
输入更长,任务更重
- Prompt长度暴涨4倍
平均输入Token数从1.5k增长到了6k以上。
- Output长度翻倍
平均输出从150 Token增长到400 Token(主要是推理Token的增加)。
这说明用户不再只是问「如何做番茄炒蛋」,而是扔给模型整个代码库、长文档或复杂的对话历史,要求模型进行深度的分析和调试。
提示词数量呈上升趋势。自2024年初以来,平均提示词长度已增长近四倍,反映出工作负载对上下文依赖度的显著提升。

完成Token数量几乎增长了三倍。
输出长度也有所增加,尽管基数较小,这表明响应内容更丰富、更详细,主要归因于推理Token的增长。

编程成为提示Token增长的主要驱动力。
自2025年春季标签功能上线以来,编程相关任务始终需要最大的输入上下文。

平均序列长度随时间变化。每次生成的平均Token数(提示词+补全内容)。
上图显示,过去20个月中平均序列长度增长超过三倍,从2023年末的不足2000个标记增至2025年末的5400个以上。
这一增长反映了向更长上下文窗口、更深层任务历史记录和更精细生成结果的结构性转变。
其中,编程中的序列长度与整体对比。编程提示词的系统性更长且增长更快。

场景洞察:大家到底用AI干什么?
通过Google Tag Classifier对数十亿次请求的分类分析,报告揭示了AI使用场景的真实分布。
结果可能会让你大吃一惊:编程和角色扮演是两大绝对主导。
编程:统治一切的生产力
编程类请求的占比已从年初的11%飙升至50%以上。
- 主要驱动力
AI辅助开发工具(IDE集成)的普及。
- 模型偏好
Anthropic的Claude系列在编程领域拥有统治级地位,长期占据60%以上的份额。
- 竞争加剧
虽然Claude依然是王者,但Qwen、MiniMax、GLM和OpenAI正在蚕食这一市场。
编程作为一个主导且不断增长的类别,在所有LLM查询中被归类为编程的份额持续增加。

编程工作负载高度集中:Anthropic的模型处理最大比例的代码查询,其次是OpenAI和Google,MiniMax所占份额正在增长。
其他提供商合计仅占很小部分。

角色扮演:被低估的创意引擎
在开源领域,角色扮演是绝对的王者,占据了开源模型流量的52%。
这打破了「AI主要是生产力工具」的偏见。用户利用开源模型无审查、可定制的特性,进行故事创作、游戏互动和情感陪伴。
在角色扮演领域,中国开源模型和西方开源模型平分秋色。
DeepSeek的流量中,有超过2/3是角色扮演和闲聊,显示了其在消费者端的极高粘性。

按总Token份额排名的前6大类别。每个条形图显示该类别内主要子标签的细分。

接下来六个类别的Token份额分布。次级类别也有类似细分,展示了各领域中子主题的集中(或分散)程度。
长尾场景:科学、翻译与健康
除了上述两大巨头,其他场景如翻译、法律、科学等构成了长尾。
- 科学
主要集中在「机器学习与AI」本身的问题,显示出AI社区的自指性。
- 健康
需求高度碎片化,从医学研究到心理咨询,覆盖面极广。
下面,还针对每家公司进行了详细的数据统计。数据清晰地勾勒出了各家大模型的「性格」:
- Anthropic
硬核的「程序员」,80%以上流量用于编程和技术任务。
- DeepSeek
高情商的「陪聊」与「玩家」,主打角色扮演和闲聊。
博学的「全才」,在翻译、科学、法律等长尾领域表现均衡。
- OpenAI
正在从早期的科学/通用用途向编程/技术领域转型。
Anthropic:主要用于编程和技术任务(占比超过80%),角色扮演使用极少。

谷歌:使用构成广泛,涵盖法律、科学、技术及部分常识性查询。

xAI:代币使用高度集中于编程领域,技术应用、角色扮演及学术用途在十一月下旬显著增长。

OpenAI:使用重心逐渐转向编程与技术任务,角色扮演和日常闲聊大幅减少。

DeepSeek:使用场景以角色扮演和日常互动为主。

Qwen:在编程任务上表现出高度集中,角色扮演和科学类别的使用随时间波动。

地缘格局:AI使用的全球化
AI不再是硅谷的独角戏。研究发现:
亚洲地区的付费使用量占比从13%翻倍至31%。
这不仅是因为亚洲也是模型生产地,更因为这里拥有庞大的应用场景和企业用户。

北美的相对下降,虽然仍是最大市场,但份额已不足50%。
语言分布上,英语依然占据82%的绝对主导.
但简体中文以近5%的份额位居第二,不仅超过了西班牙语和俄语,也侧面印证了中文AI社区的活力。

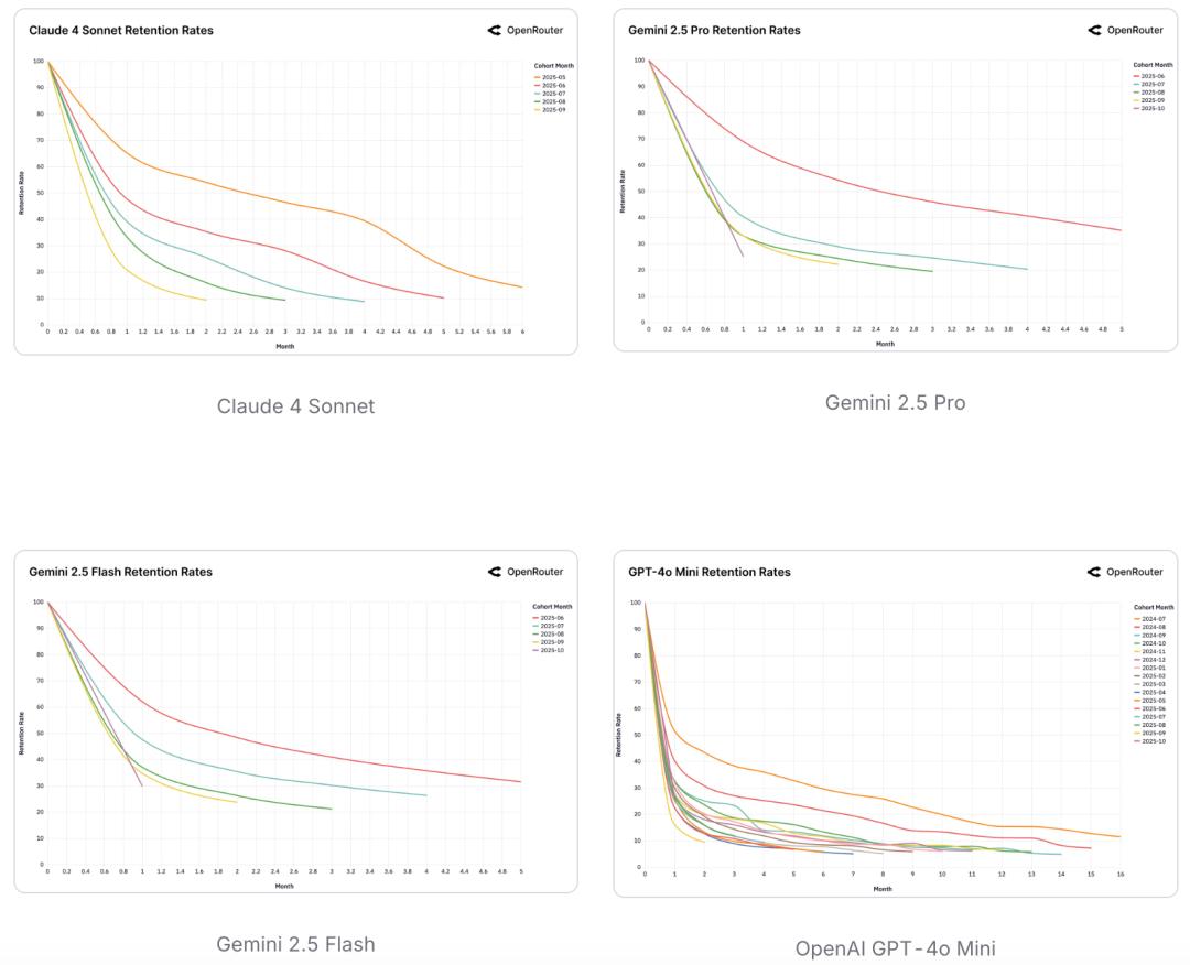
留存率分析:「灰姑娘的水晶鞋」效应
这是本报告提出并在理论层面最具洞察力的部分。
在这个模型快速迭代的时代,传统的「用户留存」概念失效了。
取而代之的是一种被称为「灰姑娘的水晶鞋(Cinderella Glass Slipper)」的现象。
什么是「水晶鞋效应」?
当一个新的前沿模型发布时,它就像那只水晶鞋。
市场上存在大量未被满足的、高难度的潜在工作负载。
如果新模型(水晶鞋)恰好能解决某类特定的高难度任务(灰姑娘),那么这批早期用户就会形成一个「基石群组」。
他们的留存率极高,不会因为后续有更便宜的模型出现而轻易迁移,因为他们已经围绕该模型构建了基础设施和工作流。
如果模型发布时没有解决任何特定的痛点,或者只是「够用」,它就无法形成基石群组,用户流失率会极高。
实证数据
赢家:GPT-4o Mini、Claude 4 Sonnet和Gemini 2.5 Pro在发布初期都形成了明显的基石群组,留存率曲线在高位企稳。

输家:一些未能建立「模型-任务匹配」的模型,其所有群组的留存率都极其惨淡。
DeepSeek的「回旋镖效应」:DeepSeek的数据出现了一个有趣的异常——用户流失后又回来了。
留存曲线在几个月后出现反弹。
这说明用户在尝试了其他竞品后,发现DeepSeek在特定场景(如性价比或特定任务)上依然是不可替代的。

成本vs使用
如果你认为把模型价格降到最低就能赢得市场,那就大错特错了。
通过对成本(Cost)与使用量(Usage)进行双对数坐标分析,研究人员发现了以下规律:
首先,是可以按类型将任务分成四个象限。
- 溢价工作负载(高价+高频)
编程、科技。这是兵家必争之地。用户愿意为闭源模型支付高价,因为它们能解决复杂问题,产出价值远高于Token成本。
- 大众流量驱动(低价+高频)
角色扮演、普通问答。这是开源模型的舒适区。通过极致的性价比捕获海量长尾需求。
- 专业专家(高价+低频)
金融、医疗、学术。单次调用昂贵,但总频次低。
- 利基工具(低价+低频)
翻译、法律助手。

0.73美元/百万Token的成本中位数,将场景垂直一分为二
其次,是可以按使用-成本将模型分成四个象限。
高级领导者(Premium leaders):成本不低,但使用量仍然很高,比如Claude Sonnet 4、Gemini 2.5 Pro等。
高效巨头(Efficient giants):价格非常便宜,但性能够好,比如Gemini Flash、DeepSeek V3等。
长尾模型(Long tail):价格几乎接近免费,但使用量很有限。
高级专家(Premium specialists):非常贵,专门服务那些「极少但极值钱」的任务,比如o1-Pro、GPT-5 Pro等。

AI模型市场:成本与使用

第三,是模型定价对使用量的影响比想象中要小。
价格下降10%,使用量仅增加0.5%-0.7%。
这意味着,对于关键任务,用户对价格不敏感;对于低价值任务,单纯降价也未必能带来指数级增长。

开源与闭源模型:成本与使用
然后,再加上一点「杰文斯悖论」:
当某些模型变得足够便宜且好用时,人们会在更多地方、用更长上下文、更频繁地调用它;于是总Token反而飙升,总支出可能并不降低。
最后,配合前面的类别分析,就可以得到一个非常实用的认知:
- 闭源模型,主要吃:高价值、高风险、质量必须非常稳的任务;
- 开源模型,主要吃:大量、成本敏感,但对完美度要求略低的任务。
- 降价≠少花钱:有时候用户反而会「用得更多」。
2025年的AI启示录
回顾以上分析不难发现,AI已经不再是单纯的技术竞赛,而是一场关于场景适配、成本控制与生态构建的综合战争。
- LLM不只「写文案」
编程正在成为最大、最有战略意义的类别。
而角色扮演和娱乐类,也有着同样巨大的用量,丝毫不比生产力弱。
- 多模型生态已成定局
闭源负责高价值,以及与收入挂钩的工作负载。
而开源负责低成本和大容量的任务。
- 智能体推理是新常态
更长的上下文、更多的工具调用、更复杂的多步逻辑,正在成为常态;
评判一个模型的好坏,不再只是看「单次回答漂不漂亮」,而是看它在长链路里「执行持续推理」的可靠性和效率。
- 留存的本质是「解决难题」
模型厂商真正的「护城河」,是率先解决关键的工作负载,并留住那批用户。
也就是所谓的辛德瑞拉「水晶鞋效应」:早点抓住「合脚」的场景,比多撑几个月的排行榜第一名更重要。
- 不再是美国的独角戏
亚洲尤其是中国,已经同时作为重要的模型生产者+重度用户加入战局。
「多语言、多文化适配」会变成下一阶段的刚需能力。
研究局限说明:
本报告仅基于OpenRouter单一平台数据,未包含私有化部署及企业内部系统的流量。鉴于部分指标依赖代理推算(如地理位置和推理模式),上述结论旨在揭示行业演进的指示性趋势,而非绝对定论。